Proceso AHP una vez saquen las notas ¿cuanto tiempo se tarda en entrar a trabajar?

Más
30 Nov 2020 13:14 - 30 Nov 2020 16:14 #114510 por Lau48
Hola!!
En el caso maravilloso de que saquemos plaza, alguien sabe con qué tiempo se trabajan, es decir, cuando saldrían destinos, cuando es la incorporación, etc
Última Edición: 30 Nov 2020 16:14 por webmaster.

Por favor, Conectar o Crear cuenta para unirse a la conversación.

Más
30 Nov 2020 13:21 #114512 por jos
Respuesta de jos sobre el tema Proceso AHP una vez saquen las notas

Lau48 wrote: Hola!!
En el caso maravilloso de que saquemos plaza, alguien sabe con qué tiempo se trabajan, es decir, cuando saldrían destinos, cuando es la incorporación, etc


Para abril/mayo

Por favor, Conectar o Crear cuenta para unirse a la conversación.

Más
30 Nov 2020 13:24 #114513 por VíctorPrz4
Respuesta de VíctorPrz4 sobre el tema Proceso AHP una vez saquen las notas
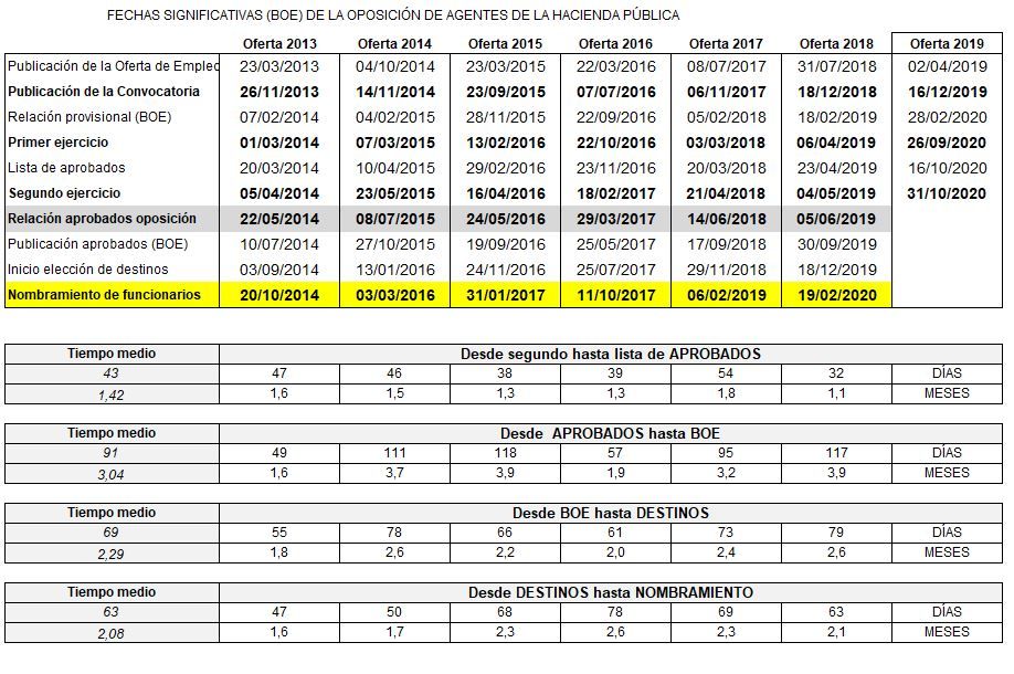
De lo que he visto de otros años, no menos de 6 meses, entre:

-BOE aprobados
-20 días hábiles aportación documentación.
-Plazo impugnación.

-Oferta de destinos y plazo de solicitud.
-lista provisional destinos
-plazo impugnación

-BOE nombramientos y destino definitivo
-Plazo de impugnación

-Plazo (normalmente 1 mes) para tomar posesión.

Si resuelven para finales de diciembre, diría que como pronto Julio, lo normal, septiembre.

"Tu vida cambiará cuando estés más comprometido con tus metas que con tu comodidad" Anónimo.
El siguiente usuario dijo gracias: marqui1989

Por favor, Conectar o Crear cuenta para unirse a la conversación.

Más
30 Nov 2020 15:17 - 30 Nov 2020 15:18 #114518 por Zenosito
Respuesta de Zenosito sobre el tema Proceso AHP una vez saquen las notas

VíctorPrz4 wrote: De lo que he visto de otros años, no menos de 6 meses, entre:

-BOE aprobados, casi inmediato a la lista de aprobados
-20 días hábiles aportación documentación, probablemente será menor que otros años como ya paso con otros plazos.
-Plazo impugnación, es de 30 días desde la lista de aprobados.

Desde aquí:
-Oferta de destinos y plazo de solicitud.
-lista provisional destinos
-plazo impugnación
-BOE nombramientos y destino definitivo
Hasta aquí, son entre dos meses y dos meses y medio.
-Plazo de impugnación, esto no afecta.

-Plazo (normalmente 1 mes) para tomar posesión, esto no merece la pena contarlo tu decides cuando te incorporas.

Si resuelven para finales de diciembre, diría que como pronto Julio, lo normal, septiembre.


Marzo
Última Edición: 30 Nov 2020 15:18 por Zenosito.

Por favor, Conectar o Crear cuenta para unirse a la conversación.

Más
30 Nov 2020 15:19 #114519 por VíctorPrz4
Respuesta de VíctorPrz4 sobre el tema Proceso AHP una vez saquen las notas

"Tu vida cambiará cuando estés más comprometido con tus metas que con tu comodidad" Anónimo.

Por favor, Conectar o Crear cuenta para unirse a la conversación.

Más
30 Nov 2020 15:56 #114522 por Zenosito
Respuesta de Zenosito sobre el tema Proceso AHP una vez saquen las notas

VíctorPrz4 wrote:


Eso no es válido este año. Te faltan datos.

Por favor, Conectar o Crear cuenta para unirse a la conversación.

Más
30 Nov 2020 15:59 #114523 por Lau48
Respuesta de Lau48 sobre el tema Proceso AHP una vez saquen las notas
Madre mía, se lo toman con calma. Esperaba q dado que se retrasó tanto la convocatoria, se darian un poco mas de prisa en el resto pero bueno, a ver como sigue todo

Por favor, Conectar o Crear cuenta para unirse a la conversación.

Más
30 Nov 2020 17:16 #114528 por Oposihaciendaagente
Respuesta de Oposihaciendaagente sobre el tema Proceso AHP una vez saquen las notas
Este año será en torno a junio o julio... Quizás incluso en septiembre para ahorrarse las vacaciones de los nuevos.

Por favor, Conectar o Crear cuenta para unirse a la conversación.

Más
30 Nov 2020 17:33 #114530 por VíctorPrz4
Respuesta de VíctorPrz4 sobre el tema Proceso AHP una vez saquen las notas
El Excel no es mío, bueno las restas de fechas si, pero es del Drive del foro vaya...

Cada cual saque sus conclusiones

"Tu vida cambiará cuando estés más comprometido con tus metas que con tu comodidad" Anónimo.

Por favor, Conectar o Crear cuenta para unirse a la conversación.

Más
30 Nov 2020 17:58 #114533 por Witty
Respuesta de Witty sobre el tema Proceso AHP una vez saquen las notas
El año que más prisa se dieron de los que aparecen en el excel (OEP 2013) tardaron seis meses y medio desde la fecha del segundo examen hasta el nombramiento en el BOE. Dudo que tarden menos que eso este año, aunque se quieran dar prisa...

Agente de la Hacienda Pública y opositor al Cuerpo Técnico de Hacienda

Por favor, Conectar o Crear cuenta para unirse a la conversación.

  • Josean
  • opositor iniciado
  • opositor iniciado
Más
30 Nov 2020 18:14 #114534 por Josean
Respuesta de Josean sobre el tema Proceso AHP una vez saquen las notas
Bueno este año por los motivos que todos sabemos es el mas impredecible, y se junta que no pilla agosto de por medio, que es inhabil y que el panel de movilidad para los agentes ya esta resuelto desde verano, otros años tenian que esperar a su resolucion para ofertar los destinos para el turno libre, y eso unido al retraso que ha habido para realizar los examenes... Por lo tanto puede que el plazo de 6 meses de minimo se recorte o puede que no...

Por favor, Conectar o Crear cuenta para unirse a la conversación.

Más
30 Nov 2020 18:15 #114535 por jmordred
Respuesta de jmordred sobre el tema Proceso AHP una vez saquen las notas
Si quisieran en marzo ya se podría. Espero que sea como muy tarde en mayo o junio que algunos queremos movernos y no nos dejan hasta que entréis los nuevos.

Por favor, Conectar o Crear cuenta para unirse a la conversación.

Más
30 Nov 2020 18:30 #114538 por marqui1989
Respuesta de marqui1989 sobre el tema Proceso AHP una vez saquen las notas
Entonces los que estáis dentro ya sabéis el panel? Alguna estimación de cuántas plazas podrían tocar en Canarias para los de libre? Gracias!

Agente de Hacienda OEP 2019

Por favor, Conectar o Crear cuenta para unirse a la conversación.

Más
30 Nov 2020 20:00 #114545 por jmordred
Respuesta de jmordred sobre el tema Proceso AHP una vez saquen las notas

marqui1989 wrote: Entonces los que estáis dentro ya sabéis el panel? Alguna estimación de cuántas plazas podrían tocar en Canarias para los de libre? Gracias!


Lo sabemos desde julio..En las Islas Canarias salieron creo que 12 plazas. Ni idea6de cuántas saldrán por libre.
El siguiente usuario dijo gracias: marqui1989

Por favor, Conectar o Crear cuenta para unirse a la conversación.

Más
02 Dic 2020 13:27 #114596 por Zenosito
Respuesta de Zenosito sobre el tema Proceso AHP una vez saquen las notas

VíctorPrz4 wrote: El Excel no es mío, bueno las restas de fechas si, pero es del Drive del foro vaya...

Cada cual saque sus conclusiones


Elección de destinos a finales de enero según mis fuentes, que de momento han sido fiables. Dos meses es el plazo entre elección de destinos e incorporación según tus cálculos, que comparto totalmente. Por lo tanto, marzo.

Por favor, Conectar o Crear cuenta para unirse a la conversación.

Moderadores: webmaster
Tiempo de carga de la página: 0.106 segundos